Toimintatapa
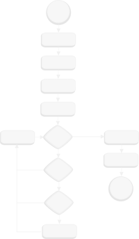
Koska ei ole olemassa kahta samanlaista yritystä, eivät konsultointitoimeksiannotkaan ole koskaan samanlaisia. Seuraavassa kerrotaan kuitenkin tyypillisen toimeksiannon vaiheet pääpiirteissään. Joka tapauksessa on tärkeää aloittaa perusteellisella keskustelulla, jossa syvennytään asiakkaan tilanteeseen, tarpeisiin ja tavoitteisiin. Aina kannattaa siis ottaa yhteyttä.• Varsinainen toimeksianto alkaa yleensä ns. alkukartoituksella, jossa konsultti perehtyy käsillä olevaan tehtävään, asiakkaan toimintaan, organisaatioon, henkilöstöön jne. asian vaatimassa laajuudessa. Tyypillisesti tämä vaihe kestää muutamia viikkoja, mutta voi olla lyhyempi tai pitempikin. Vasta tämän jälkeen konsultti esittää toimeksiantajalle yksityiskohtaisen ehdotuksen tavoitteeseen pääsemisestä eli ns. tiekartan.
• Tiekartta annetaan toimeksiantajalle kirjallisena ja se myös esitellään perusteellisessa suullisessa esittelytilaisuudessa. Samassa yhteydessä konsultti tekee haluttaessa erillisen tarjouksen tiekartan toteuttamiseen tähtäävästä palvelusta. Toimeksiantaja voi halutessaan huolehtia tiekartan toteuttamista myös itsenäisesti. Alkukartoitus ja tiekartta eivät siis sido toimeksiantajaa millään lailla jatkon suhteen.
• Yleensä toimeksiantaja haluaa apua myös tiekartan toteuttamisessa. Tämä vaihe voi sisältää hyvinkin erilaisia asioita aina sen mukaan, millaisesta tehtävästä on kysymys. Konsultti voi työskennellä yrityksessä täydet tunnit viitenä päivänä viikossa, tai voidaan sopia esim. kahden viikon välein pidettävistä seuranta- ja ohjauspalavereista - tai melkein mitä tahansa muuta. Aina kun mahdollista, tästä palvelusta solmitaan kiinteähintainen ja määrämittainen sopimus - konsultti ei jää yritykseen pysyväksi kulueräksi.
• Jos kysymyksessä on sertifiointiin johtava prosessi, konsultti on ilman muuta mukana hyväksynnän saamiseen saakka. Mutta myös toimeksiannon valmistumisen jälkeen konsultti antaa tarvittaessa apua ja ohjausta.
Yhteydenotto
Ensimmäinen askel kohti ongelmasi ratkaisua on yhteydenotto joko puhelimitse, sähköpostilla tai nettisivun palautelomakkeella. Se ei maksa mitään eikä velvoita sinua mihinkään. Ota yhteyttä!

